Sucralfate is a medication primarily taken to treat active duodenal ulcers. Sucralfate is also used for the treatment of gastroesophageal reflux disease (GERD) and stress ulcers.
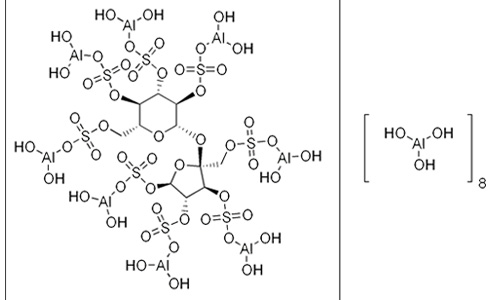
Sucralfate is a sucrose sulfate-aluminium complex that binds to the ulcer, creating a physical barrier that protects the gastrointestinal tract from stomach acid and prevents the degradation of mucus. It also promotes bicarbonate production and acts like an acid buffer with cytoprotective properties.

Starting at
| Hexadeca-μ-hydroxytetracosahydroxy[μ8-[1,3,4,6-tetra-O-sulfo-β-Dfructofuranosyl-α-D-glucopyranoside tetrakis(hydrogen sulfato)8-)]]hexadecaaluminum |
| Trade names | Carafate |
|---|---|
| AHFS/Drugs.com | monograph |
| MedlinePlus | a681049 |
| Pregnancy category |
|
| Legal status |
|
| Routes of administration | oral, suspension, rectal suspension |
| Bioavailability | 3-5% (local acting) |
|---|---|
| Metabolism | GI; liver: unknown |
| Biological half-life | unknown |
| Excretion | feces, urine |
| CAS Number | 54182-58-0 |
|---|---|
| ATC code | A02BX02 |
| PubChem | CID: 6398525 |
| DrugBank | DB00364 |
| ChemSpider | 4911161 |
| UNII | XX73205DH5 |
| ChEMBL | CHEMBL611727 |
| Formula | C12H54Al16O75S8 |
|---|---|
| Molecular mass | 2086.75 g/mol |