Tylosin is a bacteriostat feed additive used in veterinary medicine. It has a broad spectrum of activity against Gram-positive organisms and a limited range of Gram-negative organisms.[1] It is found naturally as a fermentation product of Streptomyces fradiae.[2] It is a macrolide antibiotic.
Tylosin is used in veterinary medicine to treat bacterial infections in a wide range of species and has a high margin of safety.[3] It has also been used as a growth promotant in some species, and as a treatment for colitis in companion animals.

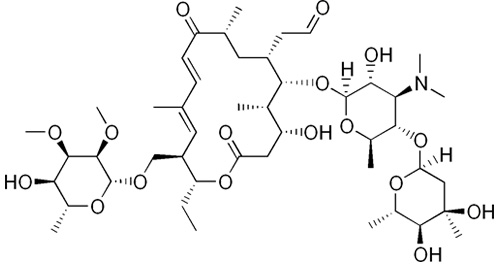
Starting at
| Systematic (IUPAC) name | |
|---|---|
| [(2R,3R,4E,6E,9R,11R,12S,13S,14R) -12- {[3,6-dideoxy-4-O-(2,6-dideoxy-3-C-methyl-α-L-ribo-hexopyranosyl) -3- (dimethylamino)-β-D-glucopyranosyl]oxy}-2-ethyl-14-hydroxy-5, 9,13-trimethyl-8, 16-dioxo-11-(2-oxoethyl)oxacyclohexadeca-4,6-dien-3-yl]methyl 6-deoxy-2,3-di-O-methyl-β-D-allopyranoside |
| Trade names | Tylocine, Tylan |
|---|---|
| AHFS/Drugs.com | International Drug Names |
| CAS Number | 1401-69-0 |
|---|---|
| ATCvet code | QJ01FA90 QJ51FA90 |
| PubChem | CID: 5280440 |
| ChemSpider | 4444097 |
| UNII | YEF4JXN031 |
| KEGG | D02490 |
| ChEBI | CHEBI:17658 |
| ChEMBL | CHEMBL42743 |
| Formula | C46H77NO17 |
|---|---|
| Molecular mass | 916.10 g/mol |
|
SMILES[show] |
|
|
InChI[show] |
|