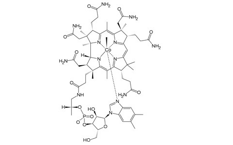
Methylcobalamin (mecobalamin, MeCbl, or MeB12) is a cobalamin, a form of vitamin B12. It differs from cyanocobalamin in that the cyanide is replaced by a methyl group.[1] Methylcobalamin features an octahedral cobalt(III) centre. Methylcobalamin can be obtained as bright red crystals.[2] From the perspective of coordination chemistry, methylcobalamin is notable as a rare example of a compound that contains metal-alkyl bonds. Nickel-methyl intermediates have been proposed for the final step of methanogenesis.

Starting at
| carbanide; cobalt(3+); |
| AHFS/Drugs.com | International Drug Names |
| Legal status | US: OTC |
| Routes of administration |
oral,sublingual,injection. |
| CAS Number | 13422-55-4 |
| ATC code | B03BA05 |
| PubChem | CID: 6436232 |
| UNII | BR1SN1JS2W |
| ChEMBL | CHEMBL1697757 |
| Formula | C63H91CoN13O14P |
| Molecular mass | 1344.40 g/mol |